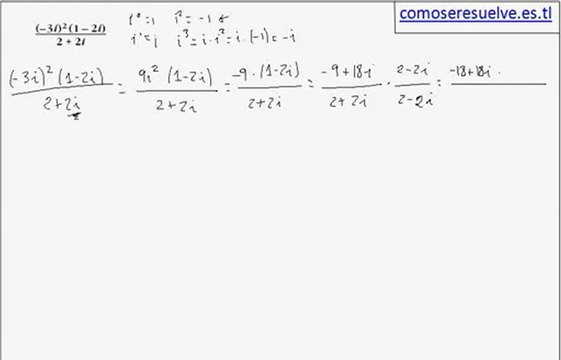
Operaciones de números complejos en forma binómica ejemplo 3

1 просмотров 19.02.2013 00:03:29

Описание

numeros complejos en forma binómica Si quieres que continue haciendo videos dale a Me Gusta! y visita mi blog comoseresuelvelafisica.com

Комментарии

Теги:
Operaciones, números, complejos, forma, binómica, ejemplo