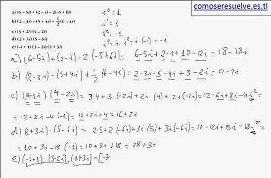
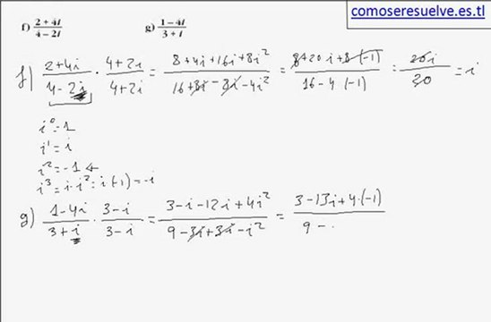
Cociente de número complejos y operaciones en forma binómica

94 просмотров 15.02.2013 00:03:55

Описание

Como se resuelve.Cociente de número complejos y operaciones en forma binómica

Комментарии

Теги:
Cociente, número, complejos, operaciones, forma, binómica