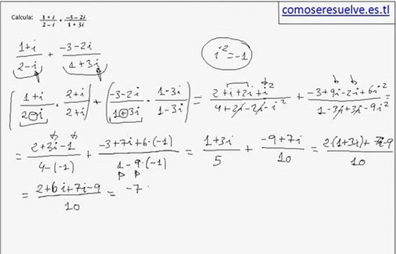
Operaciones de números complejos en forma binómica ejemplo 4

245 просмотров 12.01.2013 00:04:57

Описание

numeros complejos en forma binómica

Комментарии

Теги:
Operaciones, números, complejos, forma, binómica, ejemplo