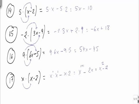
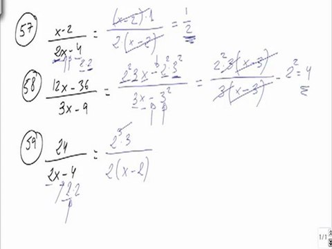
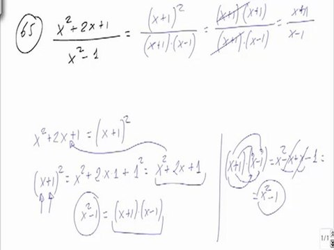
Problemas resueltos de polinomios factor comun problema 16

84 просмотров 22.11.2012 00:01:49

Описание

Es un video de un problema resuelto polinomios. Si quieres ver más problemas resueltos de electrónica, neumática, termodinámica, teoría de circuitos, estructuras, hidráulica o maquinas eléctricas (problemas resueltos de oposiciones tecnología secundaria) visita la Web inevid.com, si quieres ver más problemas resueltos de física visita comoseresuelvelafisica.com y si quieres mas problemas resueltos de matemáticas visita comoseresuelve.com

Комментарии

Теги:
Problemas, resueltos, polinomios, factor, comun, problema