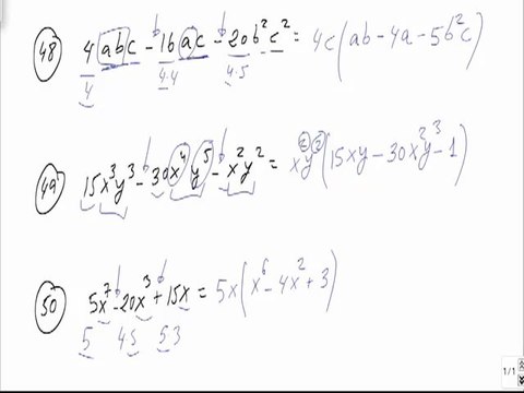
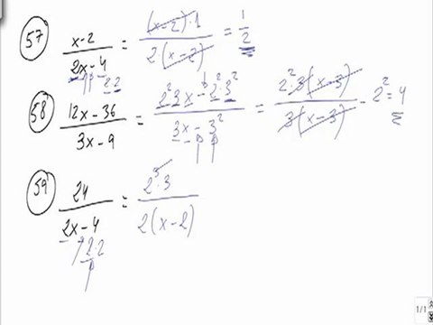
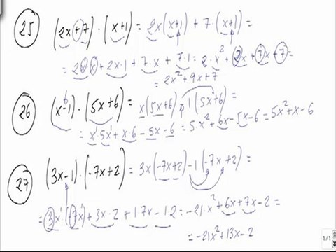
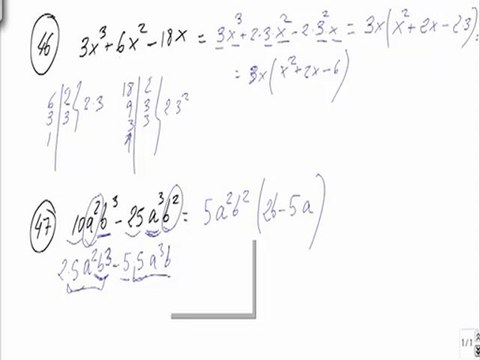
Problemas resueltos de polinomios factor comun problema 19

78 просмотров 26.01.2013 00:02:25

Описание

Es un video de un problema resuelto polinomios. Si quieres ver más problemas resueltos de electrónica, neumática, termodinámica, teoría de circuitos, estructuras, hidráulica o maquinas eléctricas (problemas resueltos de oposiciones tecnología secundaria) visita la Web inevid.com, si quieres ver más problemas resueltos de física visita comoseresuelvelafisica.com y si quieres mas problemas resueltos de matemáticas visita comoseresuelve.com

Комментарии

Теги:
Problemas, resueltos, polinomios, factor, comun, problema