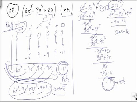
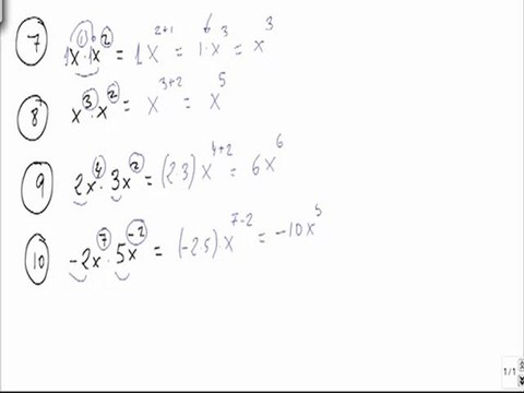
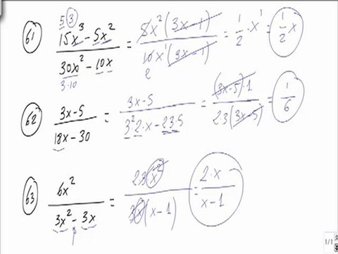
Problemas resueltos de polinomios multiplicaciones problema 3

69 просмотров 26.01.2013 00:01:14

Описание

Es un video de un problema resuelto polinomios. Si quieres ver más problemas resueltos de electrónica, neumática, termodinámica, teoría de circuitos, estructuras, hidráulica o maquinas eléctricas (problemas resueltos de oposiciones tecnología secundaria) visita la Web inevid.com, si quieres ver más problemas resueltos de física visita comoseresuelvelafisica.com y si quieres mas problemas resueltos de matemáticas visita comoseresuelve.com

Комментарии

Теги:
Problemas, resueltos, polinomios, multiplicaciones, problema