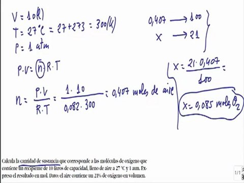
General or Ideal Gas Equation

105 просмотров 07.08.2015 00:05:44

Описание

General or Ideal Gas Equation Gases chapter No 3 chemistry part 1

Комментарии

Теги:
General, Ideal, Equation