Heat (Part 2) - (Kinetic Theory of Gases and Thermodynamics) - Gas Equation

202 просмотров 17.08.2011 00:04:45

Описание

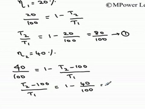
Practice questions for Heat (Part 2) - (Kinetic Theory of Gases and Thermodynamics)

Комментарии

Теги:
Heat, Part, Kinetic, Theory, Gases, Thermodynamics, Equation