Quimica 1º bachillerato leyes de gases ideales ejercicio 2

2 просмотров 12.12.2012 00:03:32

Описание

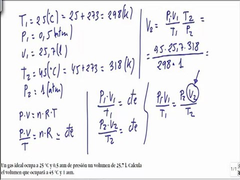
Es un video de un problema resuelto de Química de 1º de Bachillerato. Si quieres ver más problemas resueltos de electrónica, neumática, termodinámica, teoría de circuitos, estructuras, hidráulica o maquinas eléctricas (problemas resueltos de oposiciones tecnología secundaria) visita la Web inevid.com, si quieres ver más problemas resueltos de física y química visita comoseresuelvelafisica.com y si quieres mas problemas resueltos de matemáticas visita comoseresuelve.com

Комментарии

Теги:
Quimica, bachillerato, leyes, gases, ideales, ejercicio