Definite Integrals - Apply definite integration

32 просмотров 18.08.2011 00:03:53

Описание

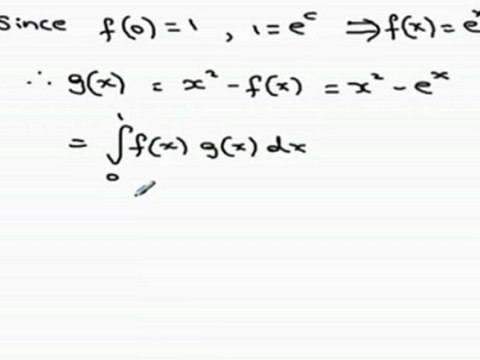
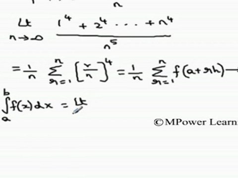
Practice questions for Definite Integrals 

Комментарии

Теги:
Definite, Integrals, Apply, definite, integration