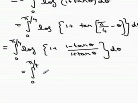
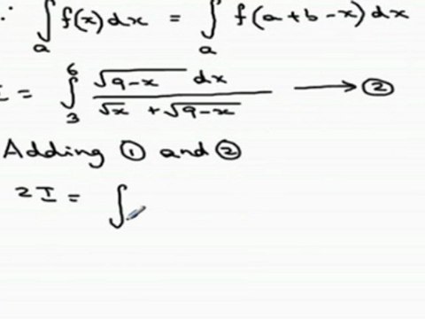
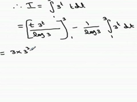
Integration - Properties of Definite Integrals

106 просмотров 18.08.2011 00:03:48

Описание

Integration - Properties of Definite Integrals 

Комментарии

Теги:
Integration, Properties, Definite, Integrals