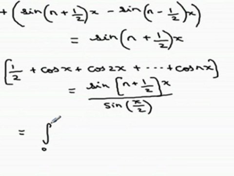
How to- Trigonometric Integrals Example 2

41 просмотров 25.05.2010 00:05:42

Описание

College calculus tutor offers free calculus help and sample problems. Please visit my website at integralCALC.com for more videos, or to contact me for help with calculus. :)

Комментарии

Теги:
Trigonometric, Integrals, Example