Evaluation of integrals by Trigonometric Substitutions : Solved Examples

199 просмотров 12.03.2016 00:11:54

Описание

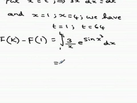
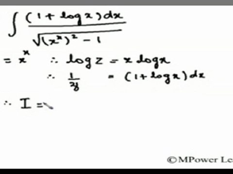
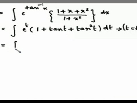
Lesson#6 Evaluation of integrals by Trigonometric Substitutions Solved Examples Chapter No. 3 Integration Exercise No. 3.3 Mathematics part 2

Комментарии

Теги:
Evaluation, integrals, Trigonometric, Substitutions, Solved, Examples