Ejercicios y problemas resueltos de ecuaciones con radicales problema 3

135 просмотров 05.11.2012 00:01:07

Описание

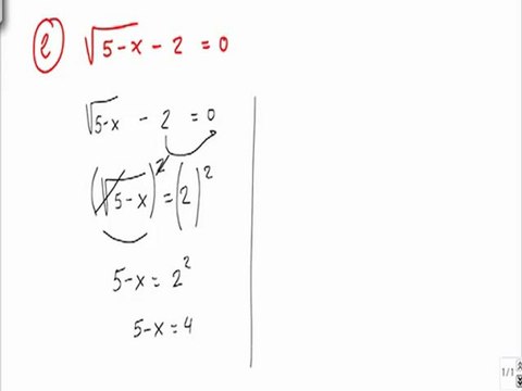
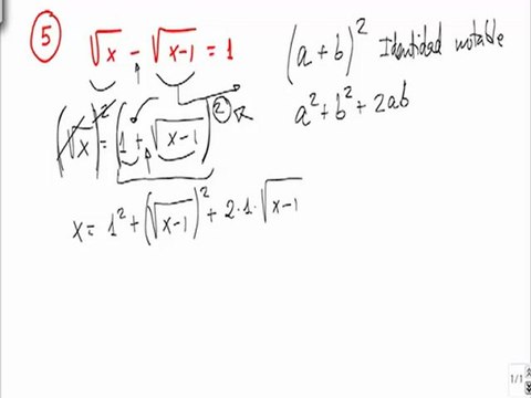
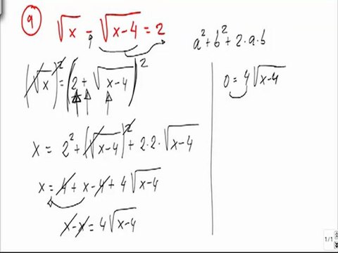
Es un video de un problema resuelto de ecuaciones con radicales. Si quieres ver más problemas resueltos de electrónica, neumática, termodinámica, teoría de circuitos, estructuras, hidráulica o maquinas eléctricas (problemas resueltos de oposiciones tecnología secundaria) visita la Web inevid.com, si quieres ver más problemas resueltos de física visita comoseresuelvelafisica.com y si quieres mas problemas resueltos de matemáticas visita comoseresuelve.com

Комментарии

Теги:
Ejercicios, problemas, resueltos, ecuaciones, radicales, problema