Ejercicios resueltos de sistemas de ecuaciones lineales problema 2

6 просмотров 28.10.2012 00:03:22

Описание

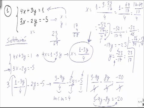
Es un video de un problema resuelto de sistemas de ecuaciones lineales. Si quieres ver más problemas resueltos de electrónica, neumática, termodinámica, teoría de circuitos, estructuras, hidráulica o maquinas eléctricas (problemas resueltos de oposiciones tecnología secundaria) visita la Web inevid.com, si quieres ver más problemas resueltos de física visita comoseresuelvelafisica.com y si quieres mas problemas resueltos de matemáticas visita comoseresuelve.com

Комментарии

Теги:
Ejercicios, resueltos, sistemas, ecuaciones, lineales, problema