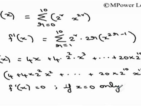
(Application of Derivatives) - Deciding the limits within which maximum can lie

24 просмотров 17.08.2011 00:04:33

Описание

Practice questions for Differential Calculus (Application of Derivatives) 

Комментарии

Теги:
Application, Derivatives, Deciding, limits, within, which, maximum