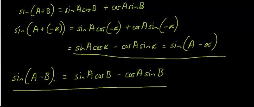
Setting Up Trigonometric Substitution

50 просмотров 24.08.2010 00:08:51

Описание

integralcalc.com College calculus tutor offers free calculus help and sample problems. Please visit my website for more videos, or to contact me for help with calculus. :)

Комментарии

Теги:
Setting, Trigonometric, Substitution