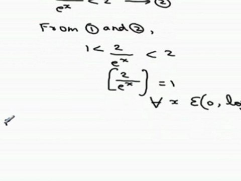
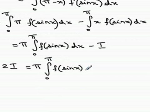
How to- Definite Integrals Example 3

65 просмотров 25.05.2010 00:03:36

Описание

College calculus tutor offers free calculus help and sample problems. Please visit my website at integralCALC.com for more videos, or to contact me for help with calculus. :)

Комментарии

Теги:
Definite, Integrals, Example