Calculus I - Derivatives - Quotient Rule - Example 3

9 просмотров 02.04.2015 00:05:49

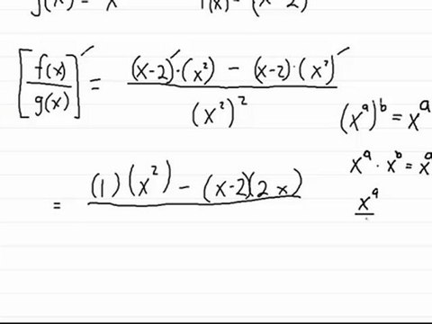
Описание

A third example of using the quotient rule to find a derivative. Same problem also done with the product rule starting around 3:02ish.

Комментарии

Теги:
Calculus, Derivatives, Quotient, Rule, Example