1 просмотров 24.12.2013 00:11:18

Комментарии

Теги:
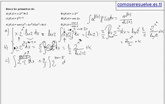
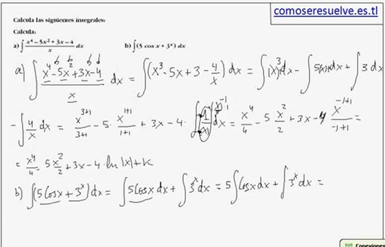
Integrales, XIII, Sustitución, cambio, variable, Funciones, trigonométricas