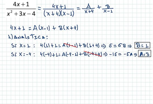
Fracciones parciales caso II

62 просмотров 22.05.2013 00:04:41

Комментарии

Теги:
Fracciones, parciales, caso